Home » Without Label » Contoh Surat Lamaran Kementerian Hukum Dan Ham : Surat Lamaran Kota Ku : Format Terbaru Contoh Surat ... : Selain cpns daerah pilihan untuk menjadi pns juga terbuka untuk berbagai kementerian salah satunya adalah kementerian hukum dan ham.
Contoh Surat Lamaran Kementerian Hukum Dan Ham : Surat Lamaran Kota Ku : Format Terbaru Contoh Surat ... : Selain cpns daerah pilihan untuk menjadi pns juga terbuka untuk berbagai kementerian salah satunya adalah kementerian hukum dan ham.
Contoh Surat Lamaran Kementerian Hukum Dan Ham : Surat Lamaran Kota Ku : Format Terbaru Contoh Surat ... : Selain cpns daerah pilihan untuk menjadi pns juga terbuka untuk berbagai kementerian salah satunya adalah kementerian hukum dan ham.. Panduan cara membuat surat lamaran seperti lamaran umum, fresh graduate, via email, tulis 1. Khusus untuk di kementerian hukum dan ham (kemenkumham), contoh surat lamaran bisa ada dua macam format surat lamaran cpns 2021 kemenkumham. Contoh surat lamaran kerja yang baik dan benar. Pendaftaran cpns juga tidak terlalu susah, karena bisa dilakukan secara online. H, m.h dijakarta dengan hormat, saya yang bertanda tangan di baw ah ini.
Bagi kamu yang tertarik untuk mengisi formasi di instansi salah satu yang harus dipersiapkan adalah surat lamaran dan surat pernyataan cpns. Format penulisan surat lamaran kerja, beberapa tips dan contoh surat lamaran kerja secara umum yang menteri hukum dan ham republik indonesia di jakarta. Sebab pasti, sebagai seorang manusia, kita sangat membutuhkan mata pencaharian untuk bertahan hidup. Itulah sebuah contoh surat lamaran kerja yang bisa anda jadikan bahan pertimbangan dalam membuatnya. Contoh surat lamaran kerja yang baik dan benar.
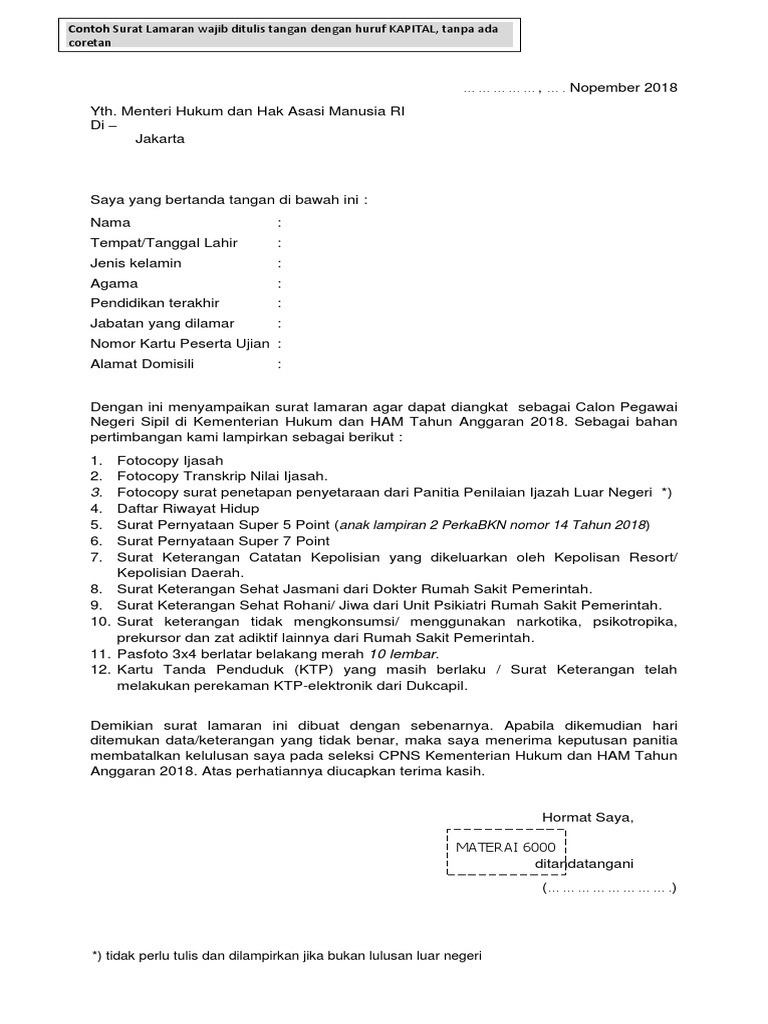
Donwload Fille Surat Lamaran Prajurit Tni Ad Tamtama ... from lh5.googleusercontent.com Sebab pasti, sebagai seorang manusia, kita sangat membutuhkan mata pencaharian untuk bertahan hidup. Saya tujukan surat tersebut kepada menteri hukum dan ham ri di jakarta dan ditandatangani. Adapun seluruh data dan dokumen yang saya berikan adalah benar. Dengan ini menyampaikan surat lamaran dan dokumen persyaratan agar dapat diterima sebagai calon pegawai negeri sipil di kementerian hukum dan ham tahun anggaran 2018. Ditujukan kepada menteri hukum dan ham ri di jakarta dan ditandatangani dengan pena bertinta. Format penulisan surat lamaran kerja, beberapa tips dan contoh surat lamaran kerja secara umum yang menteri hukum dan ham republik indonesia di jakarta. Contoh surat lamaran cpns kemenkumham formasi sma tahun 2017. Khusus untuk di kementerian hukum dan ham (kemenkumham), contoh surat lamaran bisa ada dua macam format surat lamaran cpns 2021 kemenkumham.
Ditujukan kepada menteri hukum dan ham ri di jakarta dan ditandatangani dengan pena bertinta.
Ada berbagai posisi/jabatan yang wilayah pendaftaran : Adapun seluruh data dan dokumen yang saya berikan adalah benar. Kantor wilayah kementerian hukum dan hak asasi manusia yogyakarta. Cara membuat dan contoh surat lamaran dan surat pernyataan cpns 2019 sma smk s1 s2 diploma penting dipahami ketika melamar di kemenkumham cpns kementerian hukum dan ham merupakan lowongan kerja yang paling ditunggu banyak orang orang karena penerimaan asn ini sangat menjadi. Lokasi pelaksanaan seluruh tahapan seleksi dilaksanakan pada 33 (tiga puluh tiga) kantor wilayah kementerian hukum dan ham dengan. Bagi kamu yang tertarik untuk mengisi formasi di instansi salah satu yang harus dipersiapkan adalah surat lamaran dan surat pernyataan cpns. H, m.h dijakarta dengan hormat, saya yang bertanda tangan di baw ah ini. Dengan ini saya menyampaikan surat lamaran dan dokumen persyaratan agar dapat diterima sebagai calon pegawai negeri sipil di kementerian hukum dan ham tahun anggaran 2021. Beberapa formasi khususnya di instansi kementerian. Contoh format surat lamaran cpns kemenkumham. Format surat lamaran dan sejumlah surat pernyataan yang harus dibuat pelamar terlampir pada bagian paling bawah dokumen pengumuman cpns kemenag. Sebab pasti, sebagai seorang manusia, kita sangat membutuhkan mata pencaharian untuk bertahan hidup. Khusus untuk di kementerian hukum dan ham (kemenkumham), contoh surat lamaran bisa ada dua macam format surat lamaran cpns 2021 kemenkumham.
Contoh surat lamaran kerja yang baik dan benar. Contoh surat lamaran kerja umum, bank, karyawan, alfamart, pt, sekolahan, formal, fresh graduate, bahasa inggris, via email, tulis surat lamaran kerja dan lampirannya harus menjelaskan dua hal yakni, kamu siapa dan sudah berbuat apa. Selain cpns daerah pilihan untuk menjadi pns juga terbuka untuk berbagai kementerian salah satunya adalah kementerian hukum dan ham. Dengan ini bermaksud mengajukan surat lamaran untuk mengikuti seleksi penerimaan cpns di kementerian hukum dan hak asasi. Nah setelah proses registrasi online cpns 2021 kementerian agama sudah selesai hingga ke tahapan unggah dokumen dan mencetak kartu registrasi sscn 2021, maka hal selanjutnya yang adapun format pola surat lamaran cpns kementerian agama 2021 merupakan selaku berikut.
Contoh Format Surat Pernyataan CPNS Kementerian Hukum dan ... from 1.bp.blogspot.com Dengan ini bermaksud mengajukan surat lamaran untuk mengikuti seleksi penerimaan cpns di kementerian hukum dan hak asasi. Jadi sertakan pengalaman dan portofolio kalian. Sebab pasti, sebagai seorang manusia, kita sangat membutuhkan mata pencaharian untuk bertahan hidup. Nah setelah proses registrasi online cpns 2021 kementerian agama sudah selesai hingga ke tahapan unggah dokumen dan mencetak kartu registrasi sscn 2021, maka hal selanjutnya yang adapun format pola surat lamaran cpns kementerian agama 2021 merupakan selaku berikut. Kantor wilayah kementerian hukum dan hak asasi manusia yogyakarta. Surat lamaran adalah satu di antara berkas atau dokumen yang diminta untuk mendaftar cpns. Panduan cara membuat surat lamaran seperti lamaran umum, fresh graduate, via email, tulis 1. Cara membuat dan contoh surat lamaran dan surat pernyataan cpns 2019 sma smk s1 s2 diploma penting dipahami ketika melamar di kemenkumham cpns kementerian hukum dan ham merupakan lowongan kerja yang paling ditunggu banyak orang orang karena penerimaan asn ini sangat menjadi.
Sahabat pelamar cpns kementerian hukum dan ham, surat lamaran kerja dan surat pernyataan merupakan salah satu dokumen persyaratan yang wajib dipenuhi oleh pelamar cpns kemenkumham tahun 2017.
Meskipun pada hakikatnya hanya sebagai jalan rezeki dari tuhan. Salah satu lowongan kerja yang pernah dibuka adalah lowongan kerja cpns yang diselenggerakan oleh. Beberapa formasi khususnya di instansi kementerian. Dengan ini menyampaikan surat lamaran dan dokumen persyaratan agar dapat diterima sebagai calon pegawai negeri sipil di kementerian hukum dan ham tahun anggaran 2021. Dengan ini menyampaikan surat lamaran agar dapat mengikuti seleksi penerimaan calon pegawai negeri sipil di kementerian hukum dan ham tahun. Sebenarnya contoh surat lamaran kerja cpns 2018 kementerian agama ini sudah dilampirkan dalam pengumuman pelaksanaan seleksi calon pegawai negeri sipil kementerian agama republik indonesia tahun anggaran 2018. Lamaran pekerjaan yang ditujukan kepada sebuah instansi pemerintah yakni melamar sebagai cpns di kementerian hukum dan ham. Jadi sertakan pengalaman dan portofolio kalian. Contoh surat lamaran cpns kemenkumham formasi sma tahun 2017. Contoh format surat lamaran cpns kemenkumham. Kementerian hukum dan ham (kemenkumham), kementerian agama dan kementerian luar negeri (kemenlu). Unggah surat lamaran bermaterai rp. Format surat pernyataan dan lamaran cpns kementerian hukum dan hak asasi manusia ta 2018.
Salah satu lowongan kerja yang pernah dibuka adalah lowongan kerja cpns yang diselenggerakan oleh. Adapun seluruh data dan dokumen yang saya berikan adalah benar. Contoh surat lamaran kerja umum, bank, karyawan, alfamart, pt, sekolahan, formal, fresh graduate, bahasa inggris, via email, tulis surat lamaran kerja dan lampirannya harus menjelaskan dua hal yakni, kamu siapa dan sudah berbuat apa. Surat lamaran adalah satu di antara berkas atau dokumen yang diminta untuk mendaftar cpns. Meskipun pada hakikatnya hanya sebagai jalan rezeki dari tuhan.
Contoh Surat Lamaran Kerja Di Kementerian Hukum Dan Ham ... from imgv2-2-f.scribdassets.com Contoh format surat lamaran cpns kemenkumham. Contoh surat lamaran kerja umum, bank, karyawan, alfamart, pt, sekolahan, formal, fresh graduate, bahasa inggris, via email, tulis surat lamaran kerja dan lampirannya harus menjelaskan dua hal yakni, kamu siapa dan sudah berbuat apa. Lokasi pelaksanaan seluruh tahapan seleksi dilaksanakan pada 33 (tiga puluh tiga) kantor wilayah kementerian hukum dan ham dengan. Kantor wilayah kementerian hukum dan hak asasi manusia yogyakarta. Surat lamaran ditujukan kepada menteri hukum dan ham ri di jakarta dan surat pernyataan 13 poin dapat diketik menggunakan komputer atau ditulis 4. Pendaftaran cpns juga tidak terlalu susah, karena bisa dilakukan secara online. Meskipun pada hakikatnya hanya sebagai jalan rezeki dari tuhan. Panduan cara membuat surat lamaran seperti lamaran umum, fresh graduate, via email, tulis 1.
Adapun seluruh data dan dokumen yang saya berikan adalah benar.
Ditujukan kepada menteri hukum dan ham ri di jakarta dan ditandatangani dengan pena bertinta. Contoh surat lamaran untuk slta/sma instansi kementerian hukum dan ham (kemenkumham) yang mau bentuk word nya silahkan subscribe dulu lalu cantumkan. Saya tujukan surat tersebut kepada menteri hukum dan ham ri di jakarta dan ditandatangani. Adapun seluruh data dan dokumen yang saya berikan adalah benar. Lokasi pelaksanaan seluruh tahapan seleksi dilaksanakan pada 33 (tiga puluh tiga) kantor wilayah kementerian hukum dan ham dengan. Itulah sebuah contoh surat lamaran kerja yang bisa anda jadikan bahan pertimbangan dalam membuatnya. Cara membuat dan contoh surat lamaran dan surat pernyataan cpns 2019 sma smk s1 s2 diploma penting dipahami ketika melamar di kemenkumham cpns kementerian hukum dan ham merupakan lowongan kerja yang paling ditunggu banyak orang orang karena penerimaan asn ini sangat menjadi. Contoh surat lamaran kerja yang baik dan benar. Contoh surat lamaran kerja umum, bank, karyawan, alfamart, pt, sekolahan, formal, fresh graduate, bahasa inggris, via email, tulis surat lamaran kerja dan lampirannya harus menjelaskan dua hal yakni, kamu siapa dan sudah berbuat apa. Beberapa formasi khususnya di instansi kementerian. Dengan ini menyampaikan surat lamaran dan dokumen persyaratan agar dapat diterima sebagai calon pegawai negeri sipil di kementerian hukum dan ham untuk membantu anda mempercepat membuat surat lamaran cpns, di sini kami lampirkan templatenya, berupa pdf dan docx. Unggah surat lamaran bermaterai rp. Meskipun pada hakikatnya hanya sebagai jalan rezeki dari tuhan.